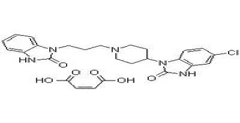
Domperidone

CAS NO: 57808-66-9

THERAPEUTIC CATEGORY: Antiemetic